Assistant Professor of Statistics
King Abdullah University of Science
and Technology (KAUST), Saudi Arabia



I was honored to receive the Letten Prize for my work on disease surveillance by the Letten Foundation and the Young Academy of Norway


Letten Prize Day 2023. The Norwegian Academy of Science and Letters
Photo Credit: Thomas Barstad Eckhoff
Diseases spread because when a mosquito bites an infected person it also swallows any viruses or parasites living in the blood of the infected person, and these can be transferred to the next person the mosquito bites
Leta et al., International Journal of Infectious Diseases, 2018
Need to acknowledge connectivity between people, animals, and their shared environment and work together to prevent disease outbreaks and save lives
Access to healthcare
and education

Vaccine development and mosquito control

Early warning and response systems

Disease surveillance systems are critical to early detection of epidemics and the design of control strategies
Traditional surveillance systems rely on data gathered with a considerable delay and make surveillance systems ineffective for real-time surveillance

Real-time digital information may enable to detect outbreaks earlier

“Flu plus fever, not a good way to start the weekend”
“I’m so irritated at this cough and fever”
“This flu, fever & throat ache won’t let me sleep”

Data-gathering platform and modelling framework that integrates multiple data sources to produce local probabilistic predictions of disease activity
Interactive dashboard that alerts public health officials when elevated disease levels are anticipated, and provides insights about disease drivers
Overview of my research to help inform disease surveillance
2024 has been the worst year for dengue cases on record, with over 10 million cases reported globally. Brazil has been one of the most affected countries with over 6 million confirmed cases and 6,000 deaths
During this time, health systems in Brazil were overwhelmed, making timely case reporting difficult. As a result, the official case numbers that were being reported were underestimating the real number of cases.
This limited the effectiveness of public health decisions
In Brazil, the InfoDengue system collects and generates indicators of dengue and other arboviruses:
In principle, dengue is meant to be reported within seven days of case identification. In practice,

Reported dengue cases in Rio de Janeiro, January 2011 to April 2012. Red line reported cases for those weeks.
Black line eventually reported cases after 10 weeks.
We decided to investigate alternative data sources to complement official surveillance data to produce more accurate predictions that help support decision-making
Google Trends index for a specific keyword is an index ranging from 0 to 100. Calculated using the number of searches for that keyword divided by the total number of searches of the region and time period considered to compare relative popularity
Weekly Google Trends index for keyword ‘dengue’ in Brazil, 2019 to 2024.
We assessed the value of Google Trends for weekly dengue nowcasting in the 27 Brazilian states
Each week from March 2024 to January 2025:

Results vary by state. In general, Google Trends and joint model for reported cases and delay distribution by InfoDengue are the best-performing approaches


Dengue-tracker provides weekly updates on the number of dengue cases per state in Brazil
We present official and corrected case counts incorporating information from Google Trends
Reports assist policymakers
and the general public in understanding dengue levels
and guide their decisions
![]()
Dengue-tracker has been used to inform the Brazilian Ministry of Health and has been crucial in several situations:
We also disseminated Dengue-tracker in social media and among contacts so general population could be better informed about dengue activity levels
We demonstrated the value of Google Trends data for dengue surveillance during Brazil’s 2024 dengue epidemic
Further research is needed to understand the use of digital data for disease information (e.g., ChatGPT)
Need to understand biases in digital data (not all individuals use search engines, just more educated and younger, internet penetration not same in all regions)
This study highlights the need for multiple, complementary data sources rather than a single data source for disease surveillance, especially during disease outbreaks
![]()
Nowcasting methods allow us to understand current disease activity levels and make better informed decisions
It is also important to predict the number of cases that will occur in the future so we have more time to be prepared and reduce disease impacts
During the 2024 epidemic, the Brazilian Ministry of Health requested 2025 dengue predictions to help inform their response and surveillance activities
We developed a neural network model for dengue forecasting. The model accounts for complex delayed and non-linear effects of climate variables, and spatial information to obtain improved predictions of future dengue cases

Dengue forecasting methods improve their accuracy by including risk factors such as climate and environmental variables known to affect transmission
We utilize a suite of covariates known to affect dengue transmission
from the Copernicus ERA5 Reanalysis Data summarized by week
| Variable | Unit | Description |
|---|---|---|
| Minimum Temperature | °C | Lowest temperature recorded within the week, based on reanalysis hourly data. |
| Mean Temperature | °C | Average temperature across the week. |
| Maximum Temperature | °C | Highest temperature recorded within the week. |
| Minimum Precipitation Rate | mm/h | Lowest hourly precipitation rate recorded during the week. |
| Average Precipitation Rate | mm/h | Weekly average of hourly precipitation rates. |
| Maximum Precipitation Rate | mm/h | Highest hourly precipitation rate recorded during the week. |
| Total Precipitation | mm | Cumulative precipitation over the week. |
| Minimum Atmospheric Pressure | atm | Lowest atmospheric pressure measured at sea level during the week. |
| Average Atmospheric Pressure | atm | Weekly mean atmospheric pressure at sea level. |
| Maximum Atmospheric Pressure | atm | Highest atmospheric pressure measured at sea level during the week. |
| Minimum Relative Humidity | % | Lowest relative humidity value recorded during the week. |
| Mean Relative Humidity | % | Weekly average relative humidity. |
| Maximum Relative Humidity | % | Highest relative humidity recorded during the week. |
| Thermal Range | °C | Difference between the daily maximum and minimum temperatures. |
| Rainy Days | Days | Number of days within the week where the total precipitation exceeded 0.03 mm. |
Goias: Tocantins, Bahia, Minas Gerais, Mato Grosso, Mato Grosso do Sul and Distrito Federal
We use the first 6 years to train the model and predict the number of dengue cases 1, 2, 3, 4, 8 and 12 weeks ahead. Then, we move the window one week keeping 6 years for training to predict the number of cases weeks ahead
We assessed the model’s performance using error and uncertainty measures in comparison with other approaches that only use cases or climate information
Model proposed performs well overall except northern states. These are regions in the Amazon which are less connected with their neighbors

Performance measures forecasts 4-weeks ahead
| Federal Unit (FU) | Code | LSTM-Cases | LSTM-Climate | LSTM-Climate-Spatial | Bayesian Baseline | ||||||||
|---|---|---|---|---|---|---|---|---|---|---|---|---|---|
| MAE | MAPE | CRPS | MAE | MAPE | CRPS | MAE | MAPE | CRPS | MAE | MAPE | CRPS | ||
| Acre (AC) | 12 | 305.19 | 45.50% | 90.91 | 129.76 | 22.30% | 35.68 | 136.83 | 24.89% | 37.34 | 382.77 | 47.23% | 96.13 |
| Alagoas (AL) | 27 | 177.96 | 43.29% | 38.14 | 79.24 | 30.54% | 16.27 | 61.08 | 23.17% | 12.98 | 69.39 | 24.28% | 13.41 |
| Amapá (AP) | 16 | 51.21 | 47.90% | 34.05 | 22.45 | 23.49% | 5.35 | 27.45 | 26.98% | 6.02 | 30.53 | 34.09% | 7.12 |
| Amazonas (AM) | 13 | 188.17 | 41.56% | 32.14 | 100.21 | 19.63% | 19.23 | 111.60 | 21.64% | 22.44 | 143.57 | 28.79% | 31.40 |
| Bahia (BA) | 29 | 886.64 | 29.94% | 165.30 | 639.44 | 23.20% | 123.86 | 532.46 | 17.13% | 120.50 | 718.63 | 22.84% | 137.74 |
| Ceará (CE) | 23 | 562.67 | 46.52% | 108.09 | 245.17 | 27.54% | 52.99 | 187.56 | 15.51% | 35.01 | 315.69 | 30.16% | 60.26 |
| Distrito Federal (DF) | 53 | 1040.21 | 26.69% | 244.60 | 926.73 | 23.24% | 219.97 | 767.30 | 16.72% | 211.70 | 997.42 | 24.57% | 249.25 |
| Espírito Santo (ES) | 32 | 8431.94 | 30.90% | 1713.56 | 7262.14 | 30.35% | 1310.95 | 6300.78 | 23.06% | 1308.43 | 6967.74 | 25.93% | 1552.96 |
| Goiás (GO) | 52 | 1708.00 | 30.34% | 310.44 | 1277.24 | 27.36% | 226.00 | 1195.70 | 19.87% | 222.87 | 1722.08 | 29.75% | 321.36 |
| Maranhão (MA) | 21 | 143.59 | 56.31% | 26.44 | 102.87 | 38.07% | 18.93 | 59.27 | 23.91% | 10.88 | 147.31 | 53.05% | 28.14 |
| Mato Grosso (MT) | 51 | 657.81 | 34.65% | 189.42 | 563.40 | 26.97% | 142.56 | 340.72 | 16.69% | 72.73 | 624.21 | 28.36% | 125.27 |
| Mato Grosso do Sul (MS) | 50 | 1711.05 | 75.23% | 342.47 | 568.10 | 59.97% | 108.71 | 404.48 | 40.11% | 81.94 | 1646.17 | 50.03% | 344.61 |
| Minas Gerais (MG) | 31 | 15099.46 | 52.28% | 3253.80 | 7730.47 | 33.33% | 1648.53 | 5088.71 | 24.52% | 1035.86 | 14220.67 | 40.19% | 3472.85 |
| Pará (PA) | 15 | 319.85 | 47.03% | 72.72 | 256.88 | 26.23% | 53.97 | 159.61 | 19.43% | 34.75 | 210.77 | 21.89% | 56.14 |
| Paraná (PR) | 41 | 651.62 | 44.56% | 145.98 | 532.44 | 26.62% | 104.80 | 391.02 | 20.01% | 81.55 | 603.78 | 22.63% | 117.92 |
| Pernambuco (PE) | 26 | 501.76 | 41.95% | 96.53 | 358.33 | 32.90% | 69.27 | 257.65 | 19.53% | 58.65 | 355.72 | 26.02% | 72.60 |
| Piauí (PI) | 22 | 319.75 | 43.87% | 57.96 | 263.10 | 30.81% | 50.76 | 194.54 | 20.75% | 41.58 | 298.91 | 28.17% | 57.16 |
| Rio de Janeiro (RJ) | 33 | 1034.84 | 32.60% | 217.36 | 861.35 | 25.10% | 194.52 | 717.22 | 18.02% | 175.08 | 910.87 | 22.58% | 210.46 |
| Rio Grande do Norte (RN) | 24 | 313.87 | 49.58% | 68.70 | 252.68 | 30.67% | 47.31 | 171.49 | 19.76% | 35.35 | 259.23 | 24.48% | 49.58 |
| Rio Grande do Sul (RS) | 43 | 823.57 | 31.88% | 155.09 | 679.61 | 28.42% | 122.36 | 548.03 | 21.42% | 98.53 | 736.82 | 25.74% | 149.61 |
| Rondônia (RO) | 11 | 371.50 | 79.49% | 103.44 | 300.93 | 42.08% | 79.71 | 285.61 | 40.93% | 69.17 | 323.33 | 43.03% | 104.34 |
| Roraima (RR) | 14 | 9.33 | 40.63% | 6.03 | 6.52 | 43.27% | 5.02 | 6.36 | 44.31% | 5.93 | 8.66 | 52.55% | 2.55 |
| Santa Catarina (SC) | 42 | 7381.10 | 79.16% | 1765.31 | 1585.71 | 56.28% | 395.28 | 1556.58 | 15.21% | 294.09 | 3028.00 | 40.68% | 831.25 |
| São Paulo (SP) | 35 | 9544.39 | 49.61% | 2196.34 | 4088.67 | 31.97% | 921.95 | 3068.46 | 17.28% | 612.34 | 8468.53 | 31.64% | 1961.50 |
| Sergipe (SE) | 28 | 54.35 | 20.82% | 13.07 | 45.92 | 17.48% | 9.43 | 41.52 | 16.50% | 8.11 | 86.08 | 31.38% | 18.57 |
| Tocantins (TO) | 17 | 124.25 | 49.07% | 31.51 | 103.21 | 37.89% | 28.46 | 92.55 | 29.12% | 20.44 | 128.97 | 45.07% | 27.20 |
To tackle this, instead of assuming connectivity between adjacent regions, we assumed connectivity if there were people traveling between regions
Consider dataset on mobility spanning air, road, and waterway transport (Oliveira et al., The Lancet Digital Health, 2024)
Consider contribution of cases imported into each city \(i\) from others in week \(t\): \[ \text{Imported Cases}_{i, t} = \sum_{j \in \mathcal{N}_i} \text{Mobility}_{ji} \cdot \frac{\text{Cases}_{j, t}}{\text{Population}_j} \]
\(\mathcal{N}_i\): set of cities with connections with city \(i\), \(\text{Mobility}_{ji}\): people from city \(j\) to \(i\), \(\text{Cases}_{j, t}\): number cases in city \(j\) and week \(t\), \(\text{Population}_j\) city \(j\)
We assessed the performance of the improved model in selected cities representing different climatic zones and disease dynamics profiles. Results demonstrate the incorporation of human movement patterns improves prediction compared with models that use spatial adjacency structures
|
|
Chen and Moraga, Infectious Disease Modelling, 2025



Brazilian Ministry of Health requested 2025 dengue predictions to help inform their response and surveillance activities
We participated in the Infodengue-Mosqlimate Dengue Challenge (IMDC) to produce actionable forecasts of the 2025 dengue season
Predictions for the states of Amazonas (AM), Ceará (CE), Goiás (GO), Paraná (PR), and Minas Gerais (MG)
Correa, …, Moraga, et al., Proceedings of the National Academy of Sciences (PNAS), 2026
The results of the challenge published in September 2024 as a technical report in Portuguese ensuring it reached key decision-makers in Ministry of Health
COVID-19 cases in Cali, Colombia, 2020
Fit a log-Gaussian Cox process for the locations of infected individuals in the studied region and time, with mean depending on population at risk, number of infected over time and random effects
\[\begin{align} N(A, t) &\sim \text{Poisson}\left(\int_{A}\Lambda(\mathbf{x}, t)d\mathbf{x}\right) \\ \Lambda(\mathbf{x}, t) &= \lambda_{0}(\mathbf{x}, t)\ I(t)\ \exp(S({\mathbf{x}, t})) \nonumber \\ \end{align}\] \[\begin{align} \lambda_{0}(\mathbf{x}, t):\ &\text{Proportional to the population density and integrates to 1}\\ I(t):\ &\text{Number of infected people at time } t\ \text{obtained from SIR model}\\ S(\mathbf{x}, t):\ &\text{Spatial Gaussian random field with Matern covariance function} \nonumber \\ \end{align}\]
Diggle, Moraga, Rowlingson and Taylor, Statistical Science, 2013
Fit SIR (Susceptible, Infected, Recovered) compartment model to aggregated data for each time to predict the number of infectious individuals at each time
Number individuals in population \(S(t) + I(t) + R(t) = N\) constant
Disease parameters:
\(\beta > 0\) infectious rate
\(\gamma > 0\) recovery rate
\[\begin{align*} \frac{dS(t)}{dt} &= -\beta S(t) \frac{I(t)}{N} \\ \frac{dI(t)}{dt} &= +\beta S(t) \frac{I(t)}{N} - \gamma I(t) \\ \frac{dR(t)}{dt} &= +\gamma I(t) \end{align*}\]
SIR model could be extended to consider more compartments (e.g.,
\(I_S(t)\) symptomatic, \(I_A(t)\) asymptomatic)
Kermack and McKendrick, Proceedings of the Royal Society, 1927
We extend the SIR model to incorporate age-stratified contact information, and estimate the spatio-temporal intensity for each population group
Contact matrix with the average number of contacts of individuals with different age groups
Individuals in all age groups tend to mix with others of similar age.
This pattern most pronounced in those aged 5–24 years, least pronounced in those aged 55–69
Children mix with adults 30–39. Middle-aged adults mix with elderly
Using simulations and real data, we showed SIR+LGCP model has better performance than LGCP models that do not do use information from the SIR model, especially when making predictions
SIR+LGCP model allows us to identify high-risk locations and vulnerable populations to better develop strategies for disease prevention and control
The spatio-temporal disease intensity obtained can be used to calculate the velocities of disease spread
Directions and magnitudes of the velocities can be mapped at specific times to better examine the spread of the disease throughout the region
Rodriguez, Mateu and Moraga, International Statistical Review, 2026
In disease surveillance, we need to analyze data available at different spatial and spatio-temporal resolutions and that come from different sources
The analysis of spatial data at different spatial resolutions entails a number of statistical challenges. These may occur in several inference problems:
Data fusion
Better predict a variable by combining data available at several spatial resolutions
Estimate air pollution by combining point- and area-level data
Interpolation
Predict a variable at locations or areal units different from those of its original collection
Downscale health outcomes from state to municipality level
Regression
Relationship between response variable and explanatory variables at different spatial scales
Relationship between dengue at county level and temperature given at point locations
European Environment Agency (EEAA) https://www.eea.europe.eu. NASA Socioeconomic Data and Applications Center (SEDAC) https://sedac.ciesin.columbia.edu
Fast and flexible spatial modeling by assuming a spatially continuous variable underlying all observations modeled using a Gaussian random field
Assume there is a spatially continuous variable underlying all observations that can be modeled using a zero-mean Gaussian random field \(S=\{S(\boldsymbol{x}): \boldsymbol{x} \in D \subset \mathbb{R}^2 \}\). Inference INLA + custom matrix SPDE
\[Y(\boldsymbol{x})|S(\boldsymbol{x}) \sim N(\mu(\boldsymbol{x})+S(\boldsymbol{x}),\tau^2)\]
Point data observed at \(\boldsymbol{x}_i \in D\) \[E[Y(\boldsymbol{x}_i)] = \mu(\boldsymbol{x}_i)+S(\boldsymbol{x}_i)\]
Areal data arise as region averages in regions \(B_j \subset D\) \[E[Y(B_j)]=|B_j|^{-1}\int_{B_j}(\mu(\boldsymbol{x})+S(\boldsymbol{x}))d\boldsymbol{x},\ |B_j|>0\] Moraga et al., Spatial Statistics, 2017
Improve resolution from 10 to 2 km, reveal dependencies among pollutants
Rodriguez, Chacon and Moraga, The American Statistician, 2025
Spatio-temporal Gaussian field \(S = \{S(\boldsymbol{x}, t): \boldsymbol{x} \in D \subset \mathbb{R}^2, t \in T \subset \mathbb{R}^{+} \}\)
\[Y(\boldsymbol{x}, t) | S(\boldsymbol{x}, t) \sim N(\mu(\boldsymbol{x}, t) + S(\boldsymbol{x}, t), \tau^2)\]
\[E[Y(\boldsymbol{x_i}, t_k)] = \mu(\boldsymbol{x_i}, t_k) + S(\boldsymbol{x_i}, t_k)\]
\[E[Y(B_j, \tau_l)] = |B_j|^{-1} |\tau_l|^{-1} \int_{B_j} \int_{\tau_l}(\mu(\boldsymbol{x}, t) + S(\boldsymbol{x}, t)) d \boldsymbol{x} dt,\] where \(|B_j|>0\) and \(|\tau_l|>0\)
Spatial resolution from 80 to 30 km and temporal resolution from 3 to 1 hour
Disease mapping is important to understand geographic and temporal patterns of diseases and allocate resources where most needed
Often, maps given at an areal resolution which difficulties decision-making
Map shows malaria prevalence in Mozambique. However, disease risk varies continuously in space & areal data unable to show how risk varies within areas
Areal estimates make difficult targeting health interventions and directing resources where most needed

High-resolution estimates permit to find differences in disease risk within study regions, and identify areas and groups of people at higher risk
As a member of the KAUST Rapid Research Response Team for COVID-19, I collaborated with researchers from the KAUST CEMSE and BESE Divisions, the Saudi Arabia’s Ministry of Health, Aramco, and Johns Hopkins Aramco Healthcare to address urgent public health challenges during the pandemic
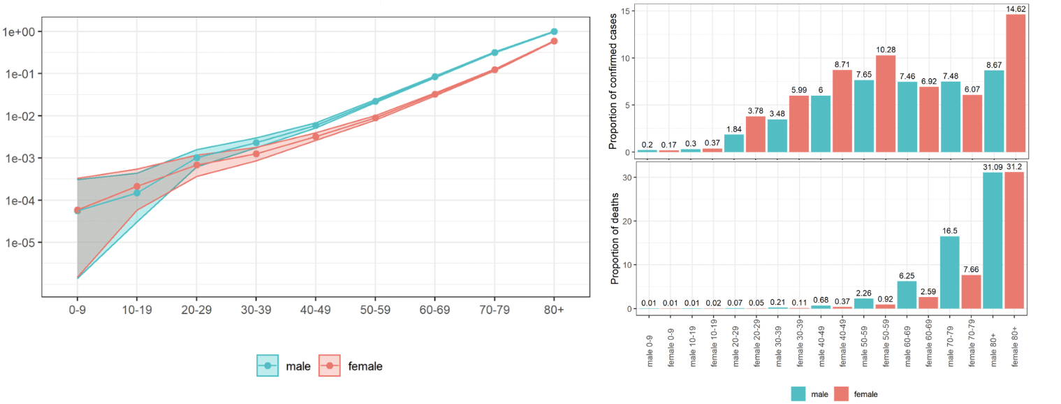
Developed an approach to obtain case fatality rates adjusted by ascertainment and censoring biases. We found that COVID-19 was highly influenced by age and gender with higher case fatality rates in older ages and males.
Moraga, Ketcheson, Ombao and Duarte, Wellcome Open Research, 2020
Datasets where areal boundaries change over time are becoming increasingly common. Standard spatio-temporal models cannot deal with this type of data. We will develop geospatial methods and software to address temporal misalignment by constructing models that assume an underlying continuous risk surface that induces spatial and temporal correlation between areas
Disease trends vary across regions, and understanding these differences can reveal where prevention and control measures are effective or where new health risks are emerging. Spatial scan statistics can be used to detect areas with unusual linear or quadratic trends, but this is restrictive. We will develop more flexible methods to better detect regions with unusual disease trends
Moraga and Kulldorff, Statistical Methods in Medical Research, 2013
In Saudi Arabia, cardiovascular diseases, diabetes and respiratory infections major public health concern. Models will quantify geographic and temporal patterns in incidence and mortality. This will help policymakers understand inequalities, changes over time to design strategies for prevention and control
Disease surveillance methods to monitor chronic and infectious diseases. Collaboration with national health organizations to provide tools that empower them to utilize their data to make better informed decisions
Xiang Chen |
Yang Xiao |
Guilherme Soares |
Andre Victor Ribeiro Amaral |
Fernando Rodriguez |
Ruiman Zhong |
Hanan Alahmadi |
Jonatan Gonzalez |
|
|
Andre Victor Ribeiro Amaral Postdoc Imperial College London Asst. Prof. University Southampton |
|
|
Ruiman Zhong AI researcher global pharmacy company WuxiBiologics, Shanghai |
|
|
Hanan Alahmadi Asst. Prof. King Saud University Founded startup on geospatial data analysis to support decision-makers in public health in Saudi Arabia |
Courses equip researchers on methods and tools to quantify disease burden, understand geographic and temporal patterns, identify risk factors, and measure inequalities
They also show how to easily turn analyses into visually informative and interactive reports and dashboards that facilitate the communication of insights to collaborators and policymakers

Manipulate and transform point, areal, raster data, create maps with R
Fit and interpret Bayesian spatial, spatio-temporal models with INLA, SPDE
Interactive visualizations, reproducible reports, dashboards and Shiny apps
Spatial data: types, retrieval, manipulation and visualization. Statistical methods and models to analyze spatial data using R
Areal data: spatial neighborhood matrices, autocorrelation, models
Geostatistical data: interpolation, model-based geostatistics
Point patterns: intensity estimation, clustering, point process models
Reproducible examples in environment, ecology, epidemiology, crime, real estate
|
KAUST, Saudi Arabia |
|
Barcelona School of Economics, Spain |
|
University of Bath, UK |
|
Hawassa University, Ethiopia |
|
Queensland University of Technology, Australia |
|
London School of Hygiene & Tropical Medicine, UK |
|
Lancaster University, UK |
| STAT Courses |
Linear models, 2021, 2022, 2023, 2024, 2025 Spatial Data Science with R, 2022, 2023, 2024, 2025 | |
| AMCS/STAT School | Geospatial Data Science, 2021, 2023 | |
| Aramco | Master’s Data Science & Analytics, 2022, 2026 |
20+ invited courses in statistical conferences and workshops around the world
including Joint Statistical Meetings (JSM), USA, Royal Statistical Society (RSS) Conferences, UK, and Institute of Statistical Mathematics (ISM), Japan
I actively contribute to professional societies, serving as Associate Editor of Journal of the Royal Statistical Society Series A, Stochastic Environmental Research and Risk Assessment, npj Digital Public Health, Editorial Board Member of Spatial Statistics and Spatial and Spatio-temporal Epidemiology, rOpenSci’s project for developing a peer review system for statistical software


Member of scientific and organizing committees of conferences, research awards, and reviewer of scientific journals and research proposals
GEOMED 2026, Spain, 4th E-Vigilancia Congress, Brazil, FOSS4G 2024, Brazil, METMA XI, UK, GEOMED 2024, Belgium, Geostats2024, Portugal, geoENV2024, Greece, KAUST 2023 Workshop on Statistics, geoENV2022, Italy, METMA4, Italy, New England Statistics Symposium 2023, USA

External expert in the Faculty Search Committee for a position of Associate Professor in Spatial Epidemiology, University of Lausanne, Switzerland
University of Bath, Lancaster University, Hasselt University, Umea University, Universidad Miguel Hernandez of Elche, Universita di Corsica Pasquale Paoli, Federal University of Toulouse Midi-Pyrenees, University Jyvaskyla, KAUST, National Institute of Public Health Mexico, Stockholm University,
London School of Hygiene & Tropical Medicine, Monash University
|
|
|
|
|
|
80+ invited and Keynote presentations around the world, and many contributed talks at conferences and outreach events
|
|
|
80+ invited and Keynote presentations around the world, and many contributed talks at conferences and outreach events
|
|
|

Science podcasts, blog posts, the World Federation of Science Journalists,
TV and radio interviews (BBC News in the UK, News programs in Spain), and general-interest articles in Arab News, La Vanguardia, and other publications
|
|
Disease spread has no borders and it is urgent that we work together
Data is crucial for public health decision-making. We need data but not just any data. We need reliable, relevant, timely and detailed data to understand how different populations and regions are doing and be able to take efficient and effective actions to reduce disease burden and protect all populations
Collaborative research, data, and analytical tools crucial for solving health challenges, achieving sustainable development, and leaving no one behind
Aligned with the priorities of KAUST and Saudi Vision 2030, my work will strengthen the Kingdom’s leadership in health innovation to support healthier and longer lives for people in Saudi Arabia and beyond
|
|
|
|
|
|
